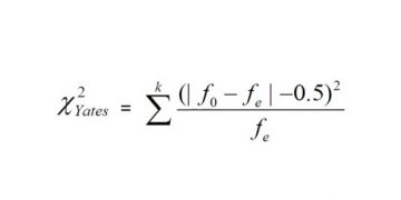
Yates Süreklilik Düzeltmesi, kategorik verilerde ki kare testinin uygulanabileceği dört gözlü tablolarda kullanılması için Yates tarafından ileri sürülen, özellikle, gözlerden ...
Read moreDetailsVetRehberi, Veteriner Hekimlik mesleği, hayvan sağlığı, hayvan hastalıkları, hayvan beslenmesi, hayvan ırkları, ebooks, sözlük, veteriner ilaçlar, yaban hayatı hakkında içerik yayınlayan ve soru-cevap ile hayvanlarınızın sorunlarına cevap veren bilgi platformudur.
