Küçük Hayvan Pratisyeni İçin Kırık Yönetimi
Küçük Hayvan Pratisyeni İçin Kırık Yönetimi, köpek ve kedilerde kırıkları yönetmek için pratik stratejiler ve faydalı yaklaşımlar sunar. Kedi ve...
Küçük Hayvan Pratisyeni İçin Kırık Yönetimi, köpek ve kedilerde kırıkları yönetmek için pratik stratejiler ve faydalı yaklaşımlar sunar. Kedi ve...
Yüksek kalitede yonca silajı hasadı, yüksek kalitedeki kuru yonca hasadından biraz farklıdır. En önemli fark, hasadı yapılan yoncalarda ki nem...
Emekli öğretmenden pet taksi hizmeti. Muğla'nın Bodrum ilçesinde, taksicilik yapan emekli öğretmen Yakup Savaş Küstü, "pet taksi" adını verdiği aracıyla 6 yıldır evcil hayvanları...
Yatay Silo, genellikle hendek kazılarak yapılan, duvarları beton ve traktörlerle doldurulup sıkıştırılan doldurulması ve boşaltılması kolay, hendek, çukur silo yerlerine...
Ekopen LA Enjeksiyonluk SüspansiyonVeteriner Sistemik Antibakteriyel BİLEŞİMİ Ekopen LA; uzun etki sağlamak amacıyla hazırlanmış, beyaz renkli süspansiyon halinde olup ,...
Yatay U Dikişi, basit ayrı dikiş gibi yara kenarlarında bir yandan diğerine iplik geçirilerek başlayıp sonra aynı işleme devamla, bu...
Suffolk koyun ırkı, İngilterenin Bury St Edmunds bölgesinde Norfolk Horn koyun ırkı ile Southdown koyun ırkı çiftleştirilmesinden oluşturulmuştur. Bu bölgede...
Yeni doğanlarda IBR karşı korunmayı artırmanın yolları maddeler halinde ifade edelim. Genç sürüye (buzağılara) bakanların, büyük hayvanlarla işi olmamalı, buzağı...
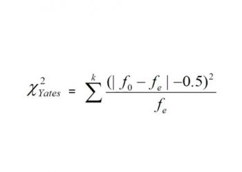
Yates Süreklilik Düzeltmesi, kategorik verilerde ki kare testinin uygulanabileceği dört gözlü tablolarda kullanılması için Yates tarafından ileri sürülen, özellikle, gözlerden...
Ekobenrep Enjeksiyonluk süspansiyon Veteriner Sistemik Antibakteriyel BİLEŞİMİ Ekobenrep beyaz renkli süspansiyon halinde olup her ml’sinde 200.000 IU Prokain-Benzilpenisilin, 250.000 IU...
© 2025 VetRehberi.com – 12.12.2016
Beşeri hekimlik insan içinse Veteriner Hekimlik insanlık içindir...